Positif Covid di Sulut Tambah 11 Kasus Baru per 27 Oktober, Total 5.243 Orang
Selasa, 27 Oktober 2020 - 17:26:00 WITA

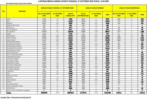
JAKARTA, iNews.id - Update terbaru jumlah warga di Sulawesi Utara yang terkonfirmasi positif covid mencapai sebanyak 5.243 orang pada Selasa (27/10/2020) hari ini. Ada penambahan 11 kasus baru dari sebelumnya sejumlah 5.232 orang.
Melansir data laporan media harian covid, selain kasus terkonfirmasi positif, tercatat ada penambahan 25 pasien sembuh. Selain itu jumlah korban meninggal dunia bertambah dua orang.
Total keseluruhan update covid untuk Sulut per Selasa hari ini yakni 5.243 orang positif, 4.430 sembuh dan 197 meninggal dunia.
Editor: Donald Karouw