Update Covid-19 di Sulut 1 Januari: Positif Tambah 53 Kasus Baru, Total 9.724 Orang
Jumat, 01 Januari 2021 - 18:08:00 WITA

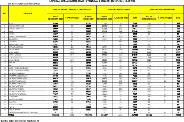
JAKARTA, iNews.id - Update terbaru jumlah warga di Sulawesi Utara yang terkonfirmasi positif Covid-19 mencapai sebanyak 9.724 orang pada hari pertama tahun 2021, Jumat (1/1/2021). Ada penambahan 53 kasus baru dalam sehari dari sebelumnya 9.671 orang.
Melansir data laporan media harian Covid-19, selain kasus terkonfirmasi positif juga ada penambahan 71 pasien sembuh. Sementara korban meninggal tanpa perubahan data.
Total keseluruhan update Covid-19 untuk Sulut per Jumat hari ini yakni 9.724 orang positif, 7.130 sembuh dan 310 meninggal dunia.
Editor: Donald Karouw